Односторонние пределы - онлайн урок
 
                                             
                                             
                                             
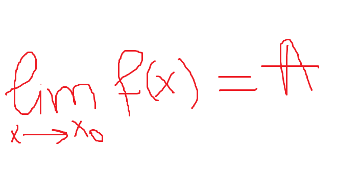
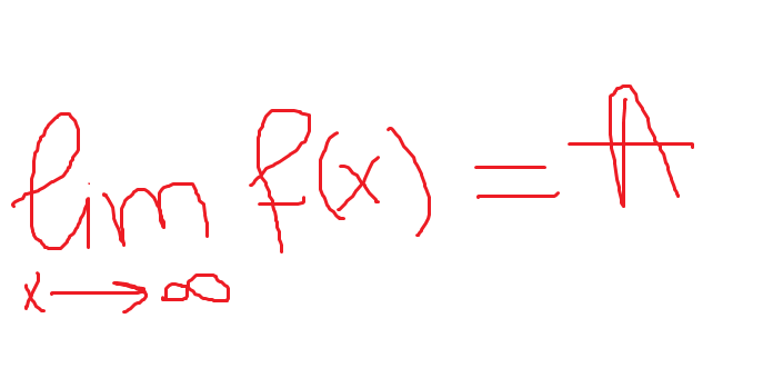
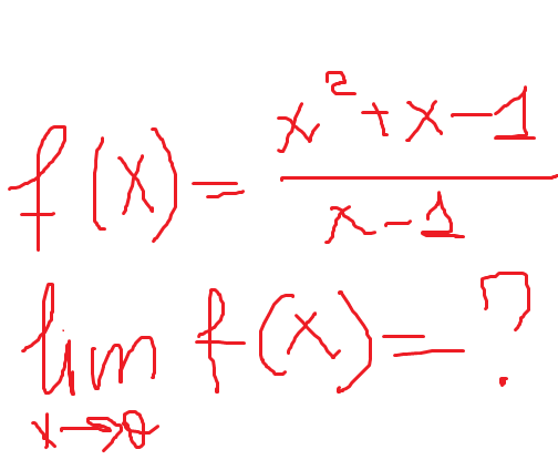
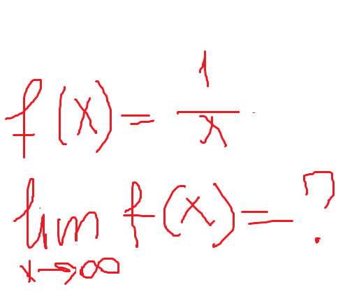
                                                Односторонние пределы
 
                                                            Похожие уроки
    
 
                    
 
         
                        




 
            
             
            
            